木曽観測所 2k CCD カメラ

2K CCD Setup Manual

2K CCD 観測マニュアル

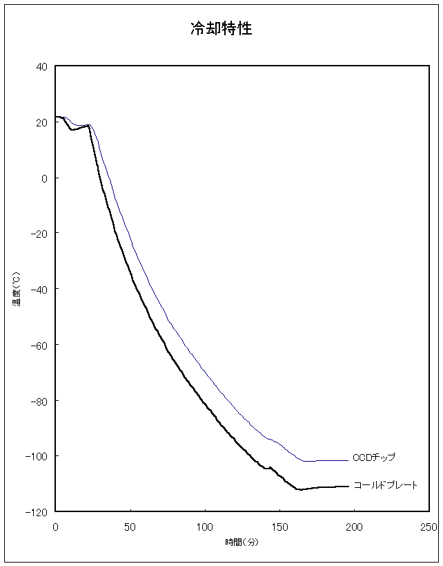
冷却特性

諸報告はこちら


デュワー窓のくもりによる感度ムラについて

2010年4〜7月に行った調査により、少なくともある時期に デュワー窓のくもりによる感度ムラが発生していたことがわかりました。 ドームフラットにせよ、スカイフラットにせよ、フラット処理を行ったあとでも、 画像上のX座標が中央あたりの領域で最大0.2等ほど星が暗く映っている 可能性があります。 2008年4月以降のデータに対して調査を行ったところ、

の時期にこの感度ムラが発生している可能性の高いことがわかりました。 詳しくは、リンク先のPDFファイルをご覧ください( 簡易版詳細版)。 この感度ムラを補正する方法も検討を進めておりますので、 必要な方は木曽観測所までご連絡ください。
現在は定期的に窓の状態を確認しています。

The spatial sensitivity gradient due to a loss of the window transparency of 2KCCD

During our test of the accuracy of such correction, we found that there has been an occasional serious loss of the window transparency of 2KCCD. This causes a considerable reduce, up to 0.2 mag or more, of the light from a star focused on the CCD. Some more details are described in the following PDF file. Users of 2KCCD are kindly advised to be careful in doing analysis of the images, especially those in the above periods.
flat_report_20100702.pdf
The status of the window is regularly checked now.